Торговец кровавым углем Дмитрий Коваленко: документы, суммы, схемы
В распоряжении журналистов оказался массив документов, раскрывающих некоторые схемы торговли подсанкционным российским углем, организованные неким Дмитрием Вячеславовичем Коваленко.
Наладил пути поставок угля из РФ и так называемых «ДНР» и «ЛНР» Дмитрий Коваленко еще в 2014 году, когда в отношении этих квазиреспублик и России царила неразбериха и непонимание сути происходящих процессов.
Пока Украина пыталась понять, что со всем этим делать, господин Коваленко, пользуясь своим отличным знанием угольного рынка и связями в этой отрасли как в РФ, так и в Украине, сумел наладить схемы, позволяющие до сих пор обходить санкции и продавать уголь из шахт «Л/ДНР» и России в Европу. Полномасштабный конфликт в Украине отнюдь не прервал эти схемы, которые продолжают успешно работать и на данный момент.
В этих поставках используется несколько фирм и несколько схем, потому попытаемся разбить массив документов, полученных нами из наших источников по неким признакам, облегчающим их изучение.
Компании Sibcoal, ANTEX INTER TRADE LTD, Adelon AG
Читайте по теме: ЕС начал массово закупать автозеркала из России вопреки собственным санкциям
Sibcoal зарегистрирована в Польше, с 18.08.2022 г. она называется Polska Grupa Importowa Premium. Это переименование произошло после того, как польские власти стали расследовать поставки компании Sibcoal из Белоруссии.
Судя по всему, причиной стала поставка российского угля из шахты «Беловская» в Польшу белорусской «Экойл Кемикл»:
Также Sibcoal поставляла в июле 2022 года этот же уголь в Литву, в адрес ЗАО «Дамета»:


Сумма поставки небольшая: 81 844 доллара 80 центов, но контракт с ЗАО «Дамета» долгосрочный – как видно из документов, он заключен еще в 2020 году.
К тому же, как видно из нижеследующего Инвойса №15 от 16.07.2022 об оплате в адрес «Экойл кемикал», от Sibcoal на сумму в 78 906,57 доллара, эта поставка не единственная. Из инвойса также видно, что уголь произведен в России, на шахте «Беловская»:
ANTEX INTER TRADE LTD – кипрский оффшор, принадлежащий Дмитрию Коваленко, который используется для так называемых «внутренних прогонок» - схемы, которая призвана запутать цепочку поставок.
Но все запутывать не удается. Вот документ о поставке угля от ANTEX INTER TRADE LTD в Чехию:
Вряд ли на Кипре существуют угольные шахты. Но вот то, что ANTEX INTER TRADE LTD «покупала» уголь у Sibcoal – несомненно:
Читайте по теме: Помощь Украине растёт: Германия обещает новые средства на оборону, но ключевое оружие остаётся за бортом
Дальше мы переместимся в Швейцарию, где зарегистрирована еще одна фирма Дмитрия Коваленко – Adelon AG.
28 июля 2022 года Adelon AG покупает и «Экойл кэмикал» 65,3 метрических тонны российского угля:
Сумма оплаты небольшая – всего 9 860 долларов, но, похоже, это был только пробный шар, как и следующая закупка того же угля у той же ООО «Экойл кэмикал»:

Обе попытки были удачными, но суть даже не в суммах, а в том, что швейцарская фирма (хотя ее конечным бенефициаром и выступает гражданин Украины Дмитрий Коваленко) успешно торгует российским углем, продаваемым белорусской фирмой.

Adelon AG, «МэлТЭК», Plaimp SFP Limited: переуступка долгов и торговля российским углем
Adelon AG засветилась и в так называемой схеме «переуступки долгов». Здесь география расширяется - Plaimp SFP Limited зарегистрирована в ОАЭ, а ОАО «МэлТЭК» - уже напрямую в России:
Как следует из договора о переуступке долгов, речь идет о перевозках угля. Adelon AG переуступает свои долги перед ОАО «МэлТЭК» фирме, которая значится в договоре как «новый должник» - Plaimp SFP Limited:



Речь идет о сумме в 768 086,87 доллара США:
Но и это еще не все: изучение договора о замене должника и приложений к нему приводит нас в Болгарию, где, оказывается, российское ОАО «МэлТЭК» сотрудничает с болгарской TEMPERI LOGISTIC LTD, зарегистрированной в Варне. И которая также предоставляет россиянам «транспортно-логистические услуги»:



Здесь речь идет уже о сумме в 1 187 462,17 доллара, которую также перебирает на себя Plaimp SFP Limited:
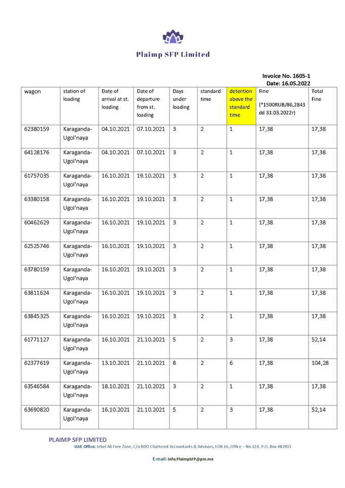
Этим история с Plaimp SFP Limited и географией не ограничивается. Потому что, как следует из инвойса от 16.05.2022, она оплатила услуги казахов по транспортировке карагандинского угля:


Компания Azurit DWC-LLC и Александр Курпетко
Изучение документации приводит нас к еще одной компании, зарегистрированной на гражданина Румынии Chemal Giumali в Объединённых Арабских Эмиратах:

Хотя настоящими владельцами компании являются Дмитрий Коваленко и Александр Курпетко, который ранее работал в «Метинвест Холдинг» Ахметова, где отвечал за закупки угля.
Как следует из договоров поставки, Azurit DWC-LLC через дальневосточные порты России поставлял в 2022 году уголь, купленный у ОАО «МэлТЭК» в Южную Корею:




Причем эти перевозки не были разовыми:






Общая сумма этих контрактов – 10 490 000 долларов США.
Судя по инвойсам, задержек с оплатой не было:

Adelon AG и ОАО «МэлТЭК»
Судя по договорам, которые слили «доброжелатели» Коваленко, одним «Азуритом» сотрудничество с россиянами не ограничилось. Его Adelon AG не только переуступало долги ОАО «МэлТЭК», но и активно с ним торговала, покупая у фирмы российский уголь:




Из Adelon AG российский уголь шел в Белоруссию, где его покупало уже знакомое нам ООО «Экойл Кэмикал»:

Понятно, что все эти «поставки» шли лишь на бумаге. Потому что никто не будет везти уголь из России в Южную Корею, потом перевозить его в Швейцарию, оттуда везти в Белоруссию, а уже оттуда везти в Польшу, Чехию или Литву.
Реальная схема работы Дмитрия Коваленко
Чтобы понять абсурдность этого маршрута, просто посмотрите на карту. Однако вся эта цепочка дает возможность запутать следы происхождения российского угля и продавать его в Европе. А что касается физического маршрута поставок, то он прост: из России в Белоруссию, а потом в Европу.
А вся эта бумажная канитель, в которой разобраться очень трудно даже подготовленному человеку, призвана только прикрыть схемы, которыми до сих пор успешно пользуется гражданин Украины Дмитрий Вячеславович Коваленко, успешно набивающий себе карманы на крови украинских граждан. Счет денег, если вы внимательно смотрели приложенные документы (а это только малая часть из того массива, который имеется в распоряжении редакции), идет на сотни миллионов долларов. Полные же объемы торговли известны только гениальному торговцу кровавым углем Дмитрию Коваленко.
Читайте по теме:
	
	
	
	
	
	
	
	
	
	Комментарии:
comments powered by Disqus
04.11.2025, 17:24 • Конфликты
04.11.2025, 17:03 • Открытия
04.11.2025, 16:48 • Конфликты
04.11.2025, 16:33 • Криминал
04.11.2025, 16:30 • Дайджест
04.11.2025, 16:27 • Открытия
04.11.2025, 16:27 • Открытия
04.11.2025, 16:09 • Криминал
04.11.2025, 16:00 • Дайджест
04.11.2025, 15:54 • Открытия
04.11.2025, 15:42 • Криминал
04.11.2025, 15:42 • Открытия
04.11.2025, 15:30 • Криминал
04.11.2025, 15:12 • Дайджест
04.11.2025, 15:06 • Дайджест
04.11.2025, 14:45 • Дайджест
04.11.2025, 14:36 • Открытия
04.11.2025, 14:27 • Криминал
04.11.2025, 14:15 • Дайджест
04.11.2025, 14:09 • Новости
04.11.2025, 14:03 • Открытия
04.11.2025, 13:51 • Открытия
04.11.2025, 13:42 • Криминал
04.11.2025, 13:30 • Конфликты